- 4.9/5.0
- 65 Questions
- Updated on: 14-Apr-2026
- Data Center Associate (JNCIA-DC)
- 165+ Prepared
- Valid Worldwide
Free JN0-281 Practice Test Questions | Know You're Ready for Data Center Associate (JNCIA-DC)
What is the purpose of implementing a link aggregation group LAG in a network?
A. to provide redundancy and load balancing across multiple links
B. to encrypt traffic between switches
C. to increase the speed of a single physical interface
D. to assign IP addresses automatically to devices on a network
Which statement about the qualified next-hop feature is correct when configuring a static route?
A. Qualified next-hop is used for specifying redundant next-hops.
B. Qualified next-hop is used when the next-hop address is not within the route table of the local device.
C. Qualified next-hop is only required when a link-state protocol is configured.
D. Qualified next-hop uses pings to verify that the next hop is up.
According to Juniper Networks, the bridge table is more commonly known as a _________.
A. forwarding table
B. forwarding bridge
C. bridging information table
D. forwarding information table
What is a function of an integrated routing and bridging IRB interface?
A. to route traffic between different VLANs
B. to encrypt traffic between network segments
C. to bridge traffic within the same VLAN
D. to provide Network Address Translation NAT
What are two characteristics of EBGP? Choose two.
A. EBGP sessions do not require an IGP.
B. EBGP sessions require loopback IP address peering.
C. EBGP does not support sessions with non-directly connected peers.
D. EBGP sessions are typically established between directly connected peers.
D. EBGP sessions are typically established between directly connected peers.

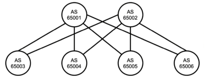
Referring to the exhibit, which two statements are true about BGP? Choose two.
A. The exhibit uses IBGP.
B. Devices should peer using loopback addresses.
C. The exhibit uses EBGP.
D. Devices should peer using physically connected IP addresses.
D. Devices should peer using physically connected IP addresses.
You are troubleshooting a downed BGP session.
Referring to the exhibit, what is the cause of the problem?
A. The UDP session between the peers has not been established.
B. The local peer has sent an Open message but not received one from the remote peer.
C. The TCP session between the peers has not been established.
D. The local peer has sent an Update message but not received one from the remote peer.
What is the purpose of generated routes? Choose one.
A. to create a route when required conditions are met
B. to create a unique routing table
C. to increase the number of route advertisements
D. to expand a single route advertisement into multiple routes
| Page 3 out of 9 Pages |